← Back to Paper List

Scaling Embeddings Outperforms Scaling Experts in Language Models

H Liu, J Zhang, C Wang, X Hu, L Lyu, J Sun, X Yang…
Meituan
arXiv, 1/2026 (2026)
Pretraining Agent

📝 Paper Summary

Sparse Large Language Models Model Scaling Laws
LongCat-Flash-Lite demonstrates that scaling embedding parameters via N-gram lookup tables is a superior alternative to scaling Mixture-of-Experts (MoE) parameters for high-sparsity, wide architectures, enabling massive parameter counts without computational explosion.
Core Problem
Mixture-of-Experts (MoE) architectures face diminishing returns and system-level bottlenecks (communication overhead, memory bandwidth) as expert counts increase, eventually hitting an efficiency saturation point.
Why it matters:
  • Continued scaling of LLMs to trillions of parameters requires maintaining modest inference latency, which standard MoE scaling struggles to sustain due to routing overheads.
  • Existing methods overlook the embedding layer as a sparse scaling dimension, despite its O(1) lookup complexity and potential for parameter expansion without computation explosion.
Concrete Example: In a standard MoE model, adding more experts increases communication costs during distributed training. The paper shows that at high sparsity ratios (e.g., >20 total-to-active parameters), simply adding more experts yields diminishing loss reductions compared to allocating those parameters to N-gram embeddings.
Key Novelty
Embedding Scaling as an Orthogonal Dimension to MoE
  • Allocates a massive portion of the parameter budget (>30B) to N-gram embeddings rather than Feed-Forward Network experts, utilizing a hash-based lookup that densifies information per token.
  • Identifies specific regimes (high sparsity, wide models) where embedding scaling achieves a better Pareto frontier than expert scaling.
  • Introduces 'Embedding Amplification' (scaling factors or LayerNorm) to prevent the massive embedding signal from being drowned out by attention outputs in deep networks.
Architecture
Architecture Figure Figure 1
The structure of the N-gram Embedding layer.
Evaluation Highlights
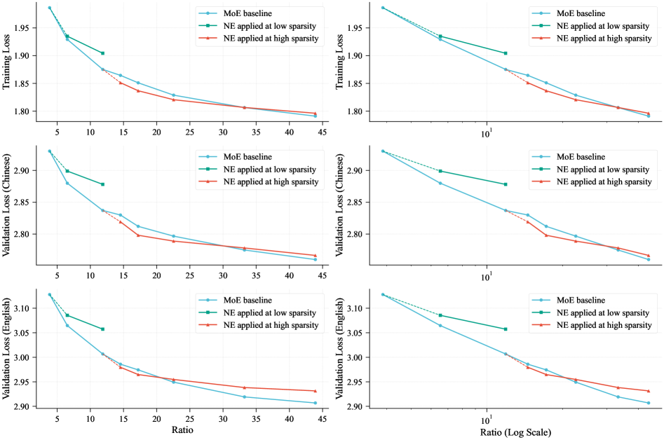
  • LongCat-Flash-Lite (68.5B total params, ~3B activated) surpasses a parameter-equivalent MoE baseline on both training and validation losses.
  • Embedding scaling consistently outperforms expert scaling in wide models (1.3B activation size) even at sparsity ratios as high as 50:1.
  • Application of Embedding Amplification reduces training and validation loss by 0.02 consistently compared to vanilla initialization.
Breakthrough Assessment
8/10
Offers a distinct, validated alternative to the dominant MoE scaling paradigm. By proving embedding scaling is more efficient for wide, high-sparsity models, it opens a new avenue for efficient LLM design.
×