← Back to Paper List

ESSAM: A Novel Competitive Evolution Strategies Approach to Reinforcement Learning for Memory Efficient LLMs Fine-Tuning

Zhishen Sun, Sizhe Dang, Guang Dai, Haishan Ye
arXiv (2026)
RL Reasoning Benchmark

📝 Paper Summary

Memory-Efficient Fine-Tuning Zeroth-Order Optimization Mathematical Reasoning
ESSAM integrates Sharpness-Aware Maximization into Evolution Strategies to fine-tune LLMs for mathematical reasoning, achieving performance comparable to gradient-based RL while using only inference-level GPU memory.
Core Problem
Reinforcement Learning (RL) fine-tuning for LLMs requires prohibitive GPU memory due to gradient and optimizer state storage, while existing memory-efficient Evolution Strategies (ES) suffer from poor generalization on complex tasks.
Why it matters:
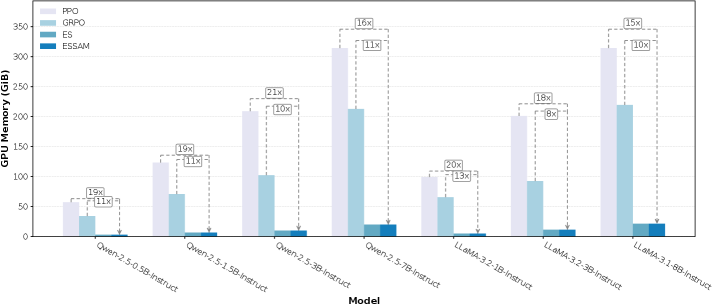
  • Fine-tuning an 8B model with PPO requires ~314 GB of GPU memory, making it inaccessible to researchers with limited resources
  • Standard zeroth-order methods (ES) tend to converge to sharp minima in the loss landscape, leading to brittle solutions that fail on unseen mathematical problems
  • Bridging the gap between memory efficiency and reasoning performance is critical for democratizing LLM alignment
Concrete Example: When fine-tuning LLaMA-3.1-8B on GSM8K, PPO consumes hundreds of gigabytes of memory. Standard ES fits in memory but achieves lower accuracy (75.97% avg). ESSAM fits in memory and matches PPO performance (78.27% avg).
Key Novelty
Evolution Strategies with Sharpness-Aware Maximization (ESSAM)
  • Introduces a 'look-ahead' step to zeroth-order optimization: instead of updating parameters directly based on current rewards, the method first perturbs parameters towards a 'sharpness-aware' neighborhood
  • Performs a two-stage evaluation: first to find the direction of the flat region (SAM update), and second to estimate the gradient at that robust location for the final update
  • Uses strictly forward passes (generation and scoring) to estimate updates, avoiding backpropagation and gradient storage entirely
Architecture
Architecture Figure Figure 1
The conceptual workflow of ESSAM comparing the update mechanism to standard ES.
Evaluation Highlights
  • Achieves 78.27% average accuracy across 7 models on GSM8K, outperforming standard Evolution Strategies (75.97%) and PPO (77.72%)
  • Reduces GPU memory usage by 18x compared to PPO and 10x compared to GRPO on average, maintaining constant inference-level memory footprint
  • Matches the performance of GRPO on the Qwen-2.5-7B-Instruct model (ESSAM: 92.57% vs GRPO: 92.70%) while running on significantly less hardware
Breakthrough Assessment
8/10
Significantly closes the performance gap between memory-efficient zeroth-order methods and resource-heavy RL. The 18x memory reduction while matching PPO is a major practical enabler.
×