RL3 augments black-box Meta-RL agents by injecting task-specific action-value estimates and visitation counts, computed by an inner standard RL algorithm, directly into the meta-policy's input stream.
Core Problem
Black-box Meta-RL methods (like RL2) rely on sequence models to infer strategies from raw history, which is data-inefficient during meta-training and struggles with long horizons or out-of-distribution tasks compared to traditional value-based RL.
Why it matters:
Meta-RL often exhibits poor asymptotic performance because sequence models (RNNs/Transformers) struggle to process arbitrary amounts of experience data effectively over long episodes.
Traditional RL algorithms are asymptotically optimal but slow; Meta-RL is fast but suboptimal. Current methods fail to bridge this gap effectively.
Generalization to tasks not seen during meta-training (OOD) is critical for real-world deployment (e.g., robotics) but remains a weakness for pure sequence-based meta-learners.
Concrete Example:In a robotic manipulation task with varying object shapes, a standard Meta-RL agent might fail to handle a new, unseen shape (OOD) because its sequence model hasn't learned that specific pattern. In contrast, a traditional Q-learning agent would eventually learn to manipulate the new shape given enough interaction, but it starts from scratch.
Key Novelty
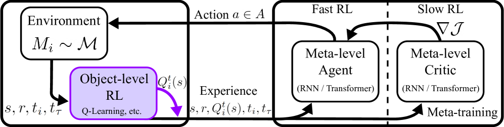
Hybrid Meta-RL with Auxiliary Q-Values (RL inside RL2)
Runs a standard, off-policy RL algorithm (like Q-learning) 'inside' the meta-learning loop to compute task-specific value estimates in real-time.
Feeds these Q-values and state-action counts into the Meta-RL policy (e.g., Transformer) as additional observations alongside the standard state-action-reward history.
Allows the meta-learner to learn how to fuse raw history (for fast adaptation) with explicit value estimates (for asymptotic optimality and stability).
Architecture
The RL3 architecture layout involving the Meta-RL agent and the Object-level RL module.
Breakthrough Assessment
7/10
Offers a principled method to combine the speed of Meta-RL with the optimality of standard RL. The theoretical grounding (linking Q-values to meta-values) is strong, though it relies on existing architectures (RL2/PPO).
⚙️ Technical Details
Problem Definition
Setting: Meta-Reinforcement Learning over a distribution of tasks (MDPs), framed as a Bayes-Adaptive MDP (BAMDP).
Inputs: Experience history (s, a, r, ...) plus auxiliary inputs (Q-values, counts) from the inner RL learner.
Outputs: Action probabilities (Policy) for the current task.
Pipeline Flow
Object-Level Learner: Updates Q-estimates based on transitions
Meta-RL Agent: Processes history + Q-estimates -> Action
System Modules
Object-Level Learner
Computes task-specific Q-value estimates and visitation counts off-policy using data collected so far in the current task.
Model or implementation: Tabular Q-learning (or approximate Q-learning)
Meta-RL Policy
Maps experience history and auxiliary Q-value inputs to actions.
Model or implementation: Transformer (or RNN/LSTM) trained via PPO
Novel Architectural Elements
Injection of explicit, task-specific Q-value estimates and visitation counts into the input space of the Meta-RL sequence model.
Dual-process architecture where a 'slow' traditional RL algorithm runs online to support the 'fast' meta-policy.
Modeling
Base Model: Transformer (modified RL2 architecture)
Training Method: Proximal Policy Optimization (PPO) for the outer loop; Q-learning for the inner object-level loop
Objective Functions:
Purpose: Optimize the meta-policy to maximize cumulative reward over the adaptation period.
Formally: Maximize expected sum of rewards over the trial lifetime (standard Meta-RL objective).
Purpose: Estimate optimal action-values for the current task (Inner Loop).
vs. RL2: RL3 adds explicit Q-value and count inputs to the sequence model, whereas RL2 relies solely on raw history.
vs. VariBAD/HyperX: RL3 avoids explicit belief modeling or variational inference, instead using Q-values as a proxy for task-specific information.
vs. Standard RL: RL3 uses Meta-RL for fast adaptation but retains Standard RL components for asymptotic stability.
Limitations
Relies on the availability of a suitable 'object-level' RL algorithm (e.g., Q-learning) that fits the domain.
The input space of the meta-learner increases with the size of the action space (due to Q-value vector injection).
Effectiveness depends on the convergence speed of the inner RL algorithm; if Q-values are noisy for too long, they may not help.
Reproducibility
No code URL provided in the text. Paper mentions implementation is based on RL2 with Transformer enhancements.
📊 Experiments & Results
Evaluation Setup
Meta-RL benchmarks and custom discrete domains.
Benchmarks:
Meta-RL benchmarks (Not specified in detail in text)
Custom discrete domains (Short-term, long-term, and complex dependencies) [New]
Metrics:
Cumulative reward
Meta-training time
Out-of-distribution (OOD) generalization
Statistical methodology: Not explicitly reported in the paper
Main Takeaways
Claims to earn greater cumulative reward in the long term compared to RL2.
Claims to drastically reduce meta-training time compared to standard Meta-RL baselines.
Claims superior generalization to out-of-distribution (OOD) tasks because Q-values provide a domain-general summary of optimality.
Q-values and counts alone are theoretically sufficient for Bayes-optimal behavior in simple domains like Bernoulli bandits (proven in Appendix).
📚 Prerequisite Knowledge
Prerequisites
Reinforcement Learning (MDPs, Q-learning)
Meta-Reinforcement Learning (Meta-RL)
Partially Observable MDPs (POMDPs)
Sequence Models (Transformers/RNNs)
Key Terms
RL2: A Meta-RL algorithm that trains a recurrent neural network (or transformer) using a model-free RL algorithm (like PPO) to act across multiple episodes of a task.
Q-learning: A model-free reinforcement learning algorithm that learns the value of an action in a particular state.
BAMDP: Bayes-Adaptive Markov Decision Process—a formulation where the agent maintains a belief distribution over possible MDPs (tasks) to make optimal decisions.
OOD: Out-of-Distribution—tasks that were not present in the training set distribution.
Object-level RL: The traditional RL algorithm (e.g., Q-learning) running 'inside' the meta-agent to solve the specific task at hand.
PPO: Proximal Policy Optimization—a popular policy gradient method used here as the 'outer loop' meta-optimizer.