← Back to Paper List

To CoT or not to CoT? Chain-of-thought helps mainly on math and symbolic reasoning

Zayne Sprague, Fangcong Yin, Juan Diego Rodriguez, Dongwei Jiang, Manya Wadhwa, Prasann Singhal, Xinyu Zhao, Xi Ye, Kyle Mahowald, Greg Durrett
The University of Texas at Austin, Johns Hopkins University, Princeton University
International Conference on Learning Representations (2024)
Reasoning Benchmark Agent

📝 Paper Summary

Prompt Engineering Reasoning Evaluation
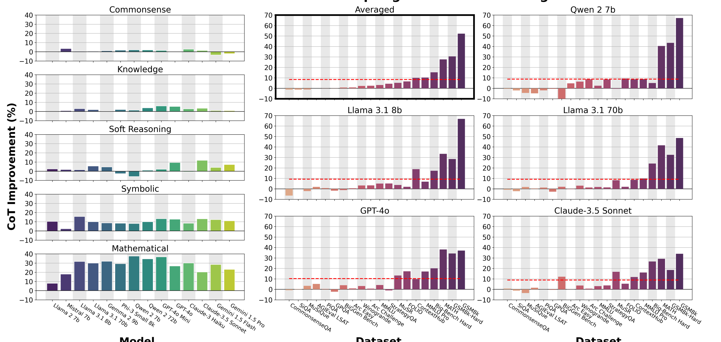
A comprehensive meta-analysis and empirical study demonstrate that Chain-of-Thought prompting provides significant gains primarily on math and symbolic tasks, yielding negligible benefits over direct answering for commonsense or soft reasoning.
Core Problem
Chain-of-Thought (CoT) is widely applied as a default prompting strategy for all reasoning tasks, increasing inference costs without proven benefits outside of mathematical domains.
Why it matters:
  • Current LLM deployments (e.g., ChatGPT) often default to CoT, potentially wasting computation on tasks where direct answering is equally effective
  • Research benchmarks are heavily skewed toward math (GSM8K, MATH), creating a false perception that CoT is universally beneficial for all 'reasoning'
  • Blindly applying CoT to non-symbolic tasks (like commonsense QA) can sometimes hurt performance or introduce unnecessary latency
Concrete Example: On the MMLU benchmark, CoT provides almost no benefit for generic questions, but for questions containing an equals sign ('=')—indicating symbolic operations—accuracy improves significantly. Directly answering non-math questions yields nearly identical accuracy to CoT.
Key Novelty
Large-Scale CoT Utility Delimitation
  • Conducts a meta-analysis of over 100 papers and new experiments across 20 datasets to rigorously classify where CoT helps versus where it is redundant
  • Identifies 'Symbolic Execution' as the primary mechanism for CoT gains, showing that benefits correlate strongly with the presence of formal systems (logic, math) rather than general reasoning
  • Demonstrates that for symbolic tasks, tool-augmented LLMs (offloading to solvers) outperform CoT, suggesting CoT is a suboptimal middle ground
Architecture
Architecture Figure Figure 1 (Conceptual)
Comparison of CoT utility across different domains (Symbolic vs. Soft Reasoning)
Evaluation Highlights
  • Meta-analysis of literature shows huge average gains for CoT on Symbolic (+14.2 points) and Math (+12.3 points) tasks compared to direct answering
  • In contrast, 'Other' task categories in the literature show negligible improvement with CoT (average 56.8) vs Direct Answering (average 56.1)
  • 95% of the total performance gain from CoT on the MMLU benchmark is attributed specifically to questions containing an equals sign ('=')
Breakthrough Assessment
8/10
Provides a crucial corrective to the field's assumption that CoT is a universal reasoning enhancer. The distinction between symbolic execution and soft reasoning is empirically validated and impactful for efficient deployment.
×